www.dulkyn.ru

Î ïðîåêòå
Ñòðóêòóðà ïðîåêòà
Êîíöåïöèÿ
Ýêñïåðèìåíò
Ïóáëêàöèè

Science-Technology project “Dulkyn”

 

Among all forces of Nature, gravitational force is one of forces being known for a very long time. One of fundamental properties of physical bodies is that all of them fall to the ground with the same acceleration. This law was discovered by Galileo at the dawn of seventeenth century and described theoretically by Newton at the fall of the same century. Einstein’s theory describes attraction by the curvature of space time but it doesn’t have an unambiguous confirmation yet.

Weakness of gravitational phenomena in comparison with other fundamental interactions makes its study extraordinary difficult. So, it was become possible after 50 years of active research to find arguments for existence of gravitational waves only by indirect methods at radiation of double pulsars.

The long-awaited experimental observation predicted by Einstein in 1915 of gravitational waves will open a whole new channel of information about the universe. On the other hand, the problem of description for gravitation on quantum level is still not solved. Difficulties met on the way to the quantization of gravitation and, also, the discovery of anomalous behavior of Universe caused by existence of dark energy on cosmological scale show that the tensor structure of gravitation laying in the basement of general theory of relativity demands for changes possibly. Such expected deviations from general theory of relativity lead in some new theories to the necessity of Einstein’s equivalence principle violation, to possible anisotropy of space-time. Therefore, the testing of main principles of modern gravitation theories becomes now the most actual problem, confirmation or violation of these principles being equally important for the development of new ideas and theories called to broaden the frontiers for our understanding of Universe constitution.

Experimental gravitation covers today a wide range of research main of which are the following:

  • Detection of gravitational waves (projects LIGO, VIRGO, GEO-600, TAMA-300, LISA).
  • Testing of Einstein’s equivalence principle.
  • Search for possible anisotropy of space-time.
  • Check of gravitation alternative theories.

All these tasks are solving by experimental groups on various setups. But it is very tempting to have universal device – detector that is able to carry out all aforementioned simultaneously. Unique compact laser interferometer complex developing on “Dulkyn” project is such a universal device.

Multi-functionality of “Dulkyn” detector is its distinctive feature and it allows the realization of precision basic research in various fields of gravitational physics simultaneously: investigation of spatial and temporal variations of gravitational field, detection of gravitational waves, testing of foundations for General relativistic theory and of alternative gravitational theories.

Detector “Dulkyn” is based on double-resonator laser system (DLS) containing signal and reference resonators where optical fields with orthogonal linear polarizations are generated with the use of single He-Ne active medium. He-Ne/CH4 mono-block glassceramics is auxiliary system frequency standard that is stabilizing by nonlinear super-narrow resonance of methane molecule. Electronic system of frequency phase auto tuning realizes bounding of DLS reference resonator generation frequency to the frequency of etalon laser generation.

In the regular regime of “Dulkyn” detector the signal resonator is in the regime of free generation with a frequency depending on its optical length and the generation frequency of etalon laser is determined by electronic transition in the methane molecule. The measuring value is frequency difference (at the operation of detector) or phase difference (at the operation in the locking zone) for signal and reference resonators of DLS.

The signal resonator can be considered as some macroscopic (extensive) clock which speed depends on resonator optical length and the reference resonator can be considered as microscopic (point) quantum clock which speed is determined by electronic transition in methane molecule. The comparison of speed for these clocks with ultimately different physical nature that react differently on gravitational potentials, gravitational waves and anisotropy degree of space-time allows realization of precision basic research in various fields of gravitational physics simultaneously.

In Kazan, unique possibilities for performing of gravitational experiments emerged historically. There is in Kazan one of the oldest and the best universities of Russia which traditionally strong scientific schools had trained physics personal able to provide scientific support for experiments of any complexity. It is Kazan University where the only one in the country chair of special relativity and gravitation works.

Scientific center of gravitational wave research “Dulkyn” (NTs GVI “Dulkyn”) with the rights of RT Academy of sciences institute is occupied by realization of this project. NTs GVI “Dulkyn” realizes its activity in tight cooperation with universities and scientific organizations of RF: KFU (Kazan), OAO “NPO State Institute of Applied Optics” (Kazan), OOO NTP “FITRAN” (Troitsk, Moscow region), KGTU named by Yupolev (Kazan).

OAO “NPO State Institute of Applied Optics” is main experimental basis of “Dulkyn” project. Presenc e of specialized cabins with thermo- and vibration-stabilization at the depth of 12 m from ground level and high-technological laser-interferometric equipment in OAO “NPO State Institute of Applied Optics” allows performing precision experimental research in the field of gravitational physics.


Scientific-technical project “Dulkyn” has successfully passed two first stages of its development:

I stage is development and creation of passive variant for double-contour interferometer (adjusting methodic, mounting and tuning);

II stage is creation of interferometer active variant – compact double-resonator laser system;

And, now, we have approached to the III stage that supposes performing (in three steps) of experiments on calibration and achievement of planned sensitivity of “Dulkyn” detector.

1st step (conventional name “Lunar test”). Creation of the first level detector (“Dulkyn”) and performing of long-term experiment (duration 6 months) on its calibration and achievement of sensitivity 10-12-10-16. The main goal of the 1st stage is in the determination of technical noise main sources in frequency range 10-5-10-1 Hz and development of methods for their effective suppression. The second task is check out of Einstein’s equivalence principle (in the part of gravitational “red shift” law universality and, also, confirmation G. Mozhene approach validity and, correspondingly, of “Dulkyn” GW-detector construction conception.

2nd step. Creation by the first step results of the second level detector (“Dulkyn-2”) where technical fluctuations of signal and reference resonators difference frequency is suppressed and the only noise source are natural fluctuations of the difference frequency caused by spontaneous radiation of active medium atoms. Performing of long term experiment (duration 12 months) on the calibration of detector and achievement of 10-15-10-18 sensitivity. The main goals of 2nd step are effective suppression of detector technical noises and possibility to obtain the regime of spontaneous radiation correlation in the signal and reference resonators of DLS. The additional task is checking of Einstein’s equivalence principle at more deep level.

3rd step. Creation by the 2nd step results of the third level detector (“Dulkyn-3”) with the possibility to use the regime of spontaneous radiation correlation in the modes of DLS signal and reference resonators. Performing of long term experiment (duration 12 months) on the calibration of detector and achievement of 10-19-10-22 sensitivity. Preparation to the beginning of detecting infra-low-frequency sensitivity gravitational radiation from binary relativistic astrophysical objects.

Laser-interferometric detector “Dulkyn-1” consists of the following main systems and units:

  • double –resonator laser system (DLS);
  • optical unit of etalon He-Ne/CH4 laser stabilized by nonlinear super-narrow resonance of methane molecule absorption;
  • unit of electronics comprising systems He-Ne/CH4 etalon laser frequency auto-tuning system and frequency-phase auto-tuning system of DLS reference resonator frequency to the frequency of He-Ne/CH4 laser, system of threshold tuning of DLS signal and reference resonators frequencies, unit of phase modulator driving for injection of calibration signals into DLS, block for measuring of phase for signal with difference frequency of DLS signal and reference resonators, unit for data gathering, unit for processing and extraction of signal;
  • vacuum system;
  • system for provision of necessary temperature-humidity regime in the experimental cabin situated at the depth of 12 m from the earth level;
  • system of telecommand and distant control (up to 100 m) by all measuring parameters of “Dulkyn-1” detector without violation of temperature-humidity regime inside experimental cabin.



 

All the goals and tasks of the “Dulkyn” project Ø stage 1st step were successfully accomplished.

  1. Detector of the first level “Dulkyb-1” was created. Operability of detector and all auxiliary apparatus during many months of continuous exploitation in the course of “Lunar test” experiment performing was proved.
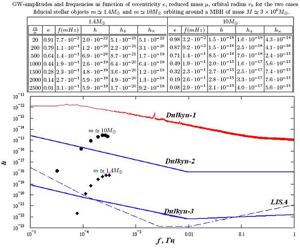
  2. The achieved “Dulkyn-1” detector sensitivity that is 10-128x10-16 in the frequency range 10-5-1 Hz corresponds to values attributed to detector of the first level and is at present time (up to launching in 2020 the international space project LISA) the only one in the world for this infra-low frequency range.
  3. As a result of “Lunar test” experiment performance, Einstein’s equivalence principle was tested (in the part of gravitational “red” shift law universality for the clocks of various physical nature) at the level of 0.9% that almost doubled previous world record (1.7% - USA, 1983). Such experiment was performed in Russia (and former USSR) for the first time.
  4. 4. The validity of GW-detector “Dulkyn” construction conception was confirmed since approach of G. Mozhene is in the basis of its elastodynamical response calculation that corresponds to the value of phenomenological parameter x=1 in contrast to approach of J. Weber (x=0) and its experimental value obtained at the testing of equivalence principle was x=1±0.009.

As a result of the 2nd step fulfillment, detector “Dulkyn-2” will be created and it will be possible with it to discover violation of Einstein’s equivalence principle or to prove anisotropy of space-time. These discoveries can lead to revolution in study of Universe and to set the beginning of new physics creation. Besides, it is possible to register on “Dulkyn-2” detector the high amplitude gravitational waves from black holes in the center of our galaxy.


[1] S. Capozziello, M. De Laurentis, L. Forte, F. Garufi and L. Milano “Relativistic orbits and Gravitational Waves from gravitomagnetic corrections” // Mem. S.A.It., 2008, Vol. 75, p. 282.

As a result of successful fulfillment of the 3rd step, detector “Dulkyn-3” will be created with sensitivity enough for registration of gravitational radiation from binary relativistic astrophysical objects.

One of the most actual problems is estimation of resources and prognosis of lithosphere state. Means of estimation and prognosis are based on methods of seismic exploring, magnetic exploring, gravimetric exploring etc.

In present project, it is planned to perform at the basis of developing detector the works on the creation of new generation gravimetric devices that have no analogs. Created devices will be able to measure not only vertical and horizontal Earth’s field potential gradients but, also, the second and the third derivatives and their temporal variations and to solve problems that cannot be solved by traditional methods at present time.

In applied geophysics, ground measurements of gravity gradients (second derivatives of gravitational potential) can be used for study of near-surface perturbing masses, for detection of voids, for determination of density at vertical profiles. Knowledge of the third gravitational potential derivatives allows the determination of mineral density variation creating investigating anomalies of gravitational potential. Besides, observations are known that allow to affirm that the second vertical derivatives of gravitational potential are also sensitive to upcoming earthquakes. Rising of gravity vertical gradient amplitude could serve as a criterion of upcoming earthquake. For aware registering of these oscillations, it is necessary to have sensitive device that is able to measure in continuous regime variations of the second derivatives. Such devices will give possibility to account the connection of earthquakes with variations of gravitational potential and their influence upon lithosphere, will provide the account and estimations of their consequences.

Creation and investigation of new complexes will ensure decreasing of expenses on search, provision and exploitation of mineral deposits by more precise and operative measurements of lithosphere parameters and, also, by measurement of its characteristics not possible for existing gravimeters. Due to their high sensitivity this devices will be able to detect yet unknown phenomena and, moreover, will make possible to achieve survey from space. It can be used for creation of ground-space based of warning for earthquakes. In applied geophysics, the usage of gravity force gradient measurements was considered by academic institutes already in soviet times soon after tragic catastrophe in Armenia in the December of 1988.

It is planned in the course of the project to create the production of new devices – compact precision laser-interferometer detectors for the investigation of gravitational field spatial-temporal variations. The defended by a patent “Gravitational-wave detector” device is a prototype for new devices.

The project will be realized in three stages.

At the first stage (3 years) of the project, laser-interferometer detector will be created with the efficient suppression of technical noises and research on the acquisition of correlation regime for spontaneous radiation in the signal and reference contours of double-resonator laser system (DLS) will be carried out.

It is supposed to create at the second stage (3 years) the laser-interferometer complex using correlation regime for spontaneous radiation in the modes of signal and reference resonators of DLS. In the course of the second stage fulfillment, the suppression of natural noises in the double-resonator detector system will be achieved that will allow to reach the record sensitivity in the field of gravimetric devices. The additional goal will be checking of Einstein’s equivalence principle at more high level and detection of gravitational waves.

It is supposed at the third stage (5 years) to carry out the development of new generation gravimetric devices, to organize their production and sale.

All leading countries are occupied by gravitational research that must yield more deep knowledge of Universe construction. Our approach to study of gravitational phenomena is original and has several advantages over foreign analogs. Acquisition of new results in this field will raise the prestige of country in the international sphere. This new fundamental knowledge will lead to creation of new technologies and, in particular, will lead to discovery of new energy sources, new means of super long communication, principally new measurement devices for geological survey and astronavigation. The carrying out of this work itself will allow to use obtained technological experience in many fields of industry that will rise without doubts technological level of the country.

 

E-mail: dulkyn@mail.ru
web-master: pl@au.ru
© 2000 DULKYN
^^^