www.dulkyn.ru

About project
Project structure
Conception
Experiment
Bibliography

STRATEGY OF LASER-INTERFEROMETRIC DETECTING THE INFRA-LOW FREQUENCY VARIATIONS OF LOCAL AND GLOBAL GRAVITATIONAL AND INERTIAL FIELDS.

The proposed by the 'Dulkyn' team strategy allows in the framework of a single approach to investigate periodic variations of gravi-inertial fields of various types including gravitational radiation from astrophysical objects, Terrestrial gravity field variations as well as variations of the Earth rotation angular velocity.

The strategy is based on the THEORY OF GRAVITATIONALLY-INDUCED SHIFT OF LASER SYSTEM GENERATION FREQUENCY in the gravity field and in the inertial forces field.

The concepts predicts the existence of macroscopically recognizable gravitationally-induced shift of generation frequency in the COMPACT ACTIVE TWO-CONTOUR LASER-INTERFEROMETRIC SYSTEMS of different geometrical configuration, operating on running or on standing waves.

Since gravitationally induced shifts of laser generation frequency and rotation-conditioned shifts are of similar origin (nature), the concept should be considered experimentally confirmed in the part of (concerning) the detection of the Earth rotation angular velocity variations, as in this case the proposed theory conclusions coincide with those of the classic theory of SAGNAC EFFECT in laser gyroscopes.

The presented concept is followed by some new tests on checking the GEOMETRIZED GRAVITY THEORY both at the level of Newtonian and post-newtonian gravitation and at the level of gravitational waves representing an example of nonstationary relativistic gravity fields.

The theory of gravitationaly induced shift of laser system generation frequency is based on the following prime statements:

  1. Laser represents a hierarchically organized macroscopic system, containing electrodynamical subsystem which is an active medium and generated in it electromagnetic field, and elastodynamical subsystem as resonator.
  2. Equations for finding the laser generation frequency, consisting of electro- and elastodynamics equations, contain metrix and its derivatives, hence the generation frequency itself varies as a function of gravitational field time variations.
  3. The laser generation frequency shift at changing the gravitational field strength is cooperative effect, conditioned, on the one hand, by translation of the basic frequency of active medium individual atom radiation, and, on the other hand, by the resonator eigenfrequences translations at the cost of resonator optical path variation.

Gravitationally induce shift of the laser system generation frequency is extremely difficult to be detected by spectroscopic methods. We place our hopes on another method, namely, interferometric method of that shift registration. In all the discussed schemes we suggest measuring the DIFFERENCE FREQUENCY of orthogonal modes of TWO-RESONANATOR laser system with common active medium by means of interferometric methods.

As the first step in testing the theory, applied to the gravitational field, the so-called LUNAR-TIDAL TEST is targeted, which substance is to detect the 12-hour geopotential tidal variations, caused by the Moon orbiting (2000-2001 years).

As the second step the test on detecting the Earth rotation angular velocity variations, caused by the geophysical phenomena in the inner strata of the planet or, shortly, SEISMIC-ROTATIONAL TEST, is scheduled (2001).

The mentioned tests performance will prepare the background for the main experiment which is the periodic gravitational radiation detection (2002-2003).

We believe that lunar-tidal and seismic-rotational tests will confirm unambiguously the theoretical statement that the signal-response of this optical-mechanical detector contains two independent components, which are ELECTRODYNAMICAL and ELASTODYNAMICAL ones.

Electrodynamical response is due to the effect of immediate effect of gravitational field on electromagnetic waves, propagating inside the optical system. From mathematical point of view this effect occurs because the Maxwell equations contain metrics and its derivatives.

Elastodynamical response is caused by the deformation of the optical system basement elastic medium. From mathematical point of view that is a consequence of integrating the elasticity equations in external gravitational field.

In the Weber-type detectors only elastodynamical response is available. In the lone-baseline lase-interferometric antennas with freely-suspended mirrors only electrodynamical component of response presents. In the mixed optical-mechanical antennas both signal-response components should present.

If the lunar-tidal and seismic-rotational tests confirm the indicated hypothesis, then the 'Dulkyn' detector theory conclusion that the total electro- and elastodynamical response to the effect of low-frequency periodic gravitational radiation differs from the Michelson detector response by the factor of the order of 0.5 will become valid.

So the foundational concept of the theory of gravitationally-induced shift of laser system generation frequency, namely the development of the compact two-contour laser-interferometric detector of periodic gravitational radiation, will acquire qualitatively new basement (be risen up to the high-grade mark).

The following concepts were used when developing that detector:

  1. The detector is designed for detection of periodic low-frequency (in the range from dozens of Hertz to milliHertz) gravitational radiation from relativistic binary or single pulsars with accurately predictable data on the rotation frequency, angular coordinates, distance to the source, gravitational radiation amplitude and the orbital plane angle.
  2. The detector represents an active optic system, hence the active medium generating optical radiation is the internal element of the scheme in distinction to the Michelson detectors, laser being the external element in them.
  3. The detector is elastically fixed on the Earth surface and provided with multilevel system for rejecting noises and with the system of recognizing the desired periodic signal on the background of "giant" geophysical disturbances.
  4. The detector is a compact one (its diameter is about 1,5 meters) unlike the Michelson type long-baseline interferometers.
  5. Detector contains two geometrically inequivalent optical contours, based on a single elastically bound system of reflective elements, and thereby it contains two channels providing the information on the gravitational field state in the observation point.

So, comparing the 'Dulkyn' detector with classical detectors of gravitational waves, one could emphasize that

  • the "Dulkyn" detector is compact as the Weber type detector, but it is interferometric like LIGO, VIRGO, GEO-600 ones;
  • the "Dulkyn" detector is oriented at low-frequency periodic gravitational radiation reception like satellite detector LISA, but it is ground based.

In other words, the 'Dulkyn' detector has capacity to use partly the advantages of all the known gravitational detectors.

 

Pentagonal active laser interferometer "Dulkyn"

Optical scheme of pentagonal gravitational detector and principle of its operation

Reference and signal resonators

The gravitational-wave detector "Dulkyn", designed for the detection and investigation of low-frequency periodic gravitational radiation (GR) is based on the pentagonal configuration of optical laser resonator with two contours of light circulation. Optical scheme of the circular two-contour resonator with the main reflecting elements being placed at the corners of regular pentagon, is presented at fig.1. Along with standard mirrors 1,2,4 the basic resonator elements are the holographic diffractional reflecting elements 3 and 5, presenting the thick phase transmitting gratings recorded on the photosensitive layer coating the mirror surface. These elements fulfil the function of division of the light falling on them into two beams with orthogonal azimuths of polarization. They work as standard mirrors of zeroth order of diffraction, providing the circulation of light with TM-polarization (the electric field vector lies in the plane of the figure) over the external contour 1-2-3-4-5-1, and the radiatiton of the first order of diffraction forms the internal contour 1-2-3-1-4-2-5-1 of the circulation of the light with TE-polarization (the electriá field vector being perpendicular to the figure plane), therewith the sections between the elements 5,1,2,3 are common for both contours. Here the active medium AM (gas-discharge tube without Brewster windows) providing the light generation in both contours is situated.

The coefficients of reflection of the holographic elements and for the mirror-reflected wave with TM-polarization and the diffracted wave with TE-polarization will be equal correspondingly at optimal depth of modulation of dielectrical permeability inside thick phase transmitting gratings (at generation on the wavelength 0.6328 ). So due to diffractional reflecting elements 3 and 5 spational and polarizational outcome of optical radiations, circulating in the external and the internal contours is achieved. A small amount of radiation (few percents) of the opposite polarization penetrating into "another" contour is extracted from the resonators by means of PTE and PTM polarizators, which present themselves the polarization prisms of Glan-type and transmit correspondingly the linearily-polarized light of TE and TM polarizations only.

Resonator in which the light circulates in the external contour is the reference one, and radiation circulating in the internal contour forms the signal resonator.

Calculation of longitudinal eigenfrequences

Let periodical gravitational wave (with frequency ) be described in TT-calibration by metrics

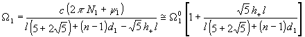
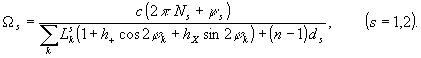
where - the amplitudes of two GR polarizations, propagating along Z -axis, and the pentagonal two-contour resonator lies in XOY -plane. As the relaxation time of the electromagnetic field amplitude in resonator ( being of the order of , where rad/sec is the width of resonator band), one may consider the gravitational-wave field to be specified when calculating the longitudinal eigenfrequences and when solving the equations of generation. As a consequence of the fact, that the reference and the signal resonators are simple ones, one can find the spectrum of their longitudinal eigenfrequences from the condition of multiplicity of the total phase incursion to at the full by-pass over the closed contour:

Here - are eigenfrequences, d1,2 - the thicknesses of polarizators with refraction indexes n, - total phase changing at reflections, N1,2 - modes numbers, and - rectilinear k-th sections of perimeter in the signal and reference resonators correspondingly, which form the angle with the principle direction of the first polarization of GR.

In the absence of GR field

where l - is the pentagon side.

One may adjust the generation frequences symmetrically in reference to the centre of amplification line or make them equal by means of varying the optical thickness of PTE and PTM polarizators. In consequence of the fact that all the reflecting elements providing the light circulation over two contours and the active medium belong simulteneously to the reference and signal resonators, the technical fluctuations of the generation frequences conditioned by all types of the mechanical effects on the mirrors, instability of the discharge current, the gas pressure variation, the electron density etc. will appear in both contours simulteneously, i.e. they will be correlated. As for the natural fluctuations conditioned by spontaneous radiation of the atoms of active medium they are found to be minimal, if one works in the synchronization band, when the generation in the reference and the signal resonators occurs at the same frequency.

The GR-field causes the additional phase variation

where - is the generation wavelength. By symmetry of the external contour g2=0 in the reference resonator. To facilitate the calculation of g1 let us assume that is counted from the section 2-1. In this case

(If the principle direction of the first GR polarization is shifted by 45º in reference to 2-1 section, then h+ should be replaced with hX). Therefore in the field of GR the eigenfrequency of optic radiation in reference resonator will remain unchanged , while in the signal one it will become equal to

i.e. it will get the increment :

Hence the GR-detector creation on the basis of the pentagonal configuration of the optic two-contour resonator allows to form two informational channels when processing the signal-response: in the first (reference) channel useful signal is absent, but the noise signals are present, conditioned by the technical and natural fluctuations of generation frequency, and in the other (signal) one the additive mixture of useful and noise signals is present, the noise signals in both channels being correlated.


GRAVIMETRIC LASER INTERFEROMETRIC COMPLEX

Geologic medium status monitoring is one of the most urgent problems of modern science about Earth. To realize the monitoring programme it is necessary, in particular, to develop gravimetric devices of new generation, capable to perform long-term and continuous measurements, accumulate their results and analyze

  • the momentary value of the finite terrestrial gravity potentials difference both on the ground surface and along the vertical wells and the inclined sections of the holes as well as the gravity potentials finite difference values in the same point but at difference time moments;
  • continuously the free-fall acceleration absolute value;
  • continuously all the second and the third (vertical and horizontal) derivatives of Terrestrial gravity field.

To solve all these problems we studied theoretically the phenomenon of gravitationally-induced shift of laser generation frequency. Theoretical analysis prompted the way of developing the measurer of the Terrestrial gravity potential first, second and third derivatives using this phenomenon. Whereat we use optical radiation itself as a sensitive element.

Gravitationally-induced laser generation frequency shift

The analysis of phenomenon of gravitationally-induced laser generation frequency shift is based on the following statements:

  • laser represents an extended macroscopic system, within which the gravitational potential inhomogeneity is manifested; definite atoms of active medium, being located in points with different gravitational potentials values, radiate electromagnetic waves,
  • equations for laser generation frequency contain gravitational potential and its derivatives; hence the frequency itself varies with gravitational field time variations,
  • the laser generation frequency shift is a cooperative effect, conditioned, on the one hand, by the red shift of radiation of the active medium single atom, and on the other hand by the resonator eigenfrequences bias with gravitation field variation.

We are solving the problem of gravitationally-induced laser generation frequency shift registration by the laser-interferometric method.

The working formula for calculating the generation frequency of horizontally arranged laser is as follows:

where W0 is the resonator eigenfrequency, w0 is the laser operating medium atomic transition eigenfrequency, independant on gravitational potential, d is stabilization parameter (approximately equal to resonator mode line width / Doppler line width radio). If potential j varies along the resonator axis line, for example, at the vertical arrangement of resonators, then it can be demonstrated that in this case some efficient potential value should be substituted into the given above formula, being numerically equal to the value j in some internal - "middle" - resonator point.

Limiting case of small stabilization parameters

When d -> 0, what corresponds to the real case of gaseous lasers (d ~ 10-2-10-3), the generation frequency is determined by the resonator eigenmode frequency w0:
(1)

Limiting case of large stabilization parameters

At d -> infinity the resonator line width is significantly greater than the Doppler line width, and the laser generation frequency is defined by the active medium atoms eigenfrequency w0:
(2)

Formula (2) may be used for the case, when the absorbing cell with extremely small spectral line width, its absorption line center frequency being very close or exactly equal to the amplification line center frequency, is introduced in the laser resonator.

Gravity field potential j occurs in the formulae (1) and (2) with different coefficients. Hence generation frequency w2 of the laser containing the absorbing cell will differ from the generation frequency w1 of the similar laser without absorbing cell. Let us assume that the absorbing cell is arranged to provide equal potential values in the formulae (1) and (2). The frequences difference for these two lasers being next to each other

depends on the gravity field potential value in the corresponding "middle" point. It is just the circumstance that allows to create the device sensitive to the gravitational potential.

Solving the last formula with respect to j, we obtain:

The second addend in this formula is a constant value, determined by the device construction only. Potential is defined at accuracy of an arbitrary additive constant, and only potentials difference is of sense, hence the second addend vanishes in the final formulae. Besides, in all real cases W0=o0 is met with high accuracy, then disregarding an additive constant we obtain:
(3)

One can estimate the terrestrial gravity potential value in the "middle" point by measuring the generated frequences difference Dw using the phase method.

The above-mentioned approach allows to create the laser-interferometric device for measuring the finite difference of Terrestrial gravity field potentials. The proposed instrument basic diagram is presented on fig. 1.

Laser-interferometric gravimeter

To get a gravimeter some changes should be introduced into design of laser-interferometric measuring instrument of gravity field potential, namely: to introduce the absorption cell in the left resonator to provide the absorption cells of the right and left resonators location in the points with different gravitational potential values in the case of the device vertical position (fig. 2).

Let the potential in the point of the left absorption cell location be equal to j1, and in the point of location of the right one - to j2, the distance between the absorption cells centres being equal to h. In this case, according to formula (2), the left and right resonators will generate optical radiation with different frequences, therewith the frequences difference Dw will be determined by the gravity potentials difference Dj:
(4)

It is easy to obtain the free fall acceleration value g from this formula:
(5)

Using of two lasers instead of one allows to create a device for measuring the first, second anf third derivatives of the gravity potential, or a device for measuring the potential finite difference and its first and second derivatives. The scheme of the latter device is presented at figure 3.

 

 

E-mail: dulkyn@mail.ru
web-master: pl@dulkyn.ru
© 2000 DULKYN
^^^