www.dulkyn.ru

О проекте
Структура проекта
Концепция
Эксперимент
Публкации

Научно-технический проект «Дулкын»

 

Среди всех сил Природы гравитационная сила - это одна из сил, о которой известно очень долгое время. Одно из фундаментальных свойств физических тел – все они падают на землю с одинаковым ускорением. Этот закон был обнаружен Галилеем в начале семнадцатого века и теоретически описан Ньютоном в конце того же столетия. Теория Эйнштейна объясняет притяжение искривлением пространства времени, но пока однозначного экспериментального подтверждения не имеет.

Слабость гравитационных явлений в сравнении с остальными фундаментальными взаимодействиями делает их изучение чрезвычайно трудным. Так после 50 лет активных исследований, только косвенными методами удалось найти аргументы в пользу существования гравитационных волн, полученные при изучении двойных пульсаров.

Долгожданное экспериментальное обнаружение предсказанных Эйнштейном еще в 1915 году гравитационных волн откроет совершенно новый канал информации о Вселенной. С другой стороны вопрос описания гравитации на квантовом уровне до сих пор остается неразрешенным. Трудности, встреченные на пути квантования гравитации, а также открытие аномального поведения Вселенной, обусловленного присутствием темной энергии на космологических масштабах, показывают, что тензорная структура гравитации, лежащая в основе ОТО, возможно, требует изменений. Такие ожидаемые отклонения от ОТО приводят в некоторых новых теориях к необходимости нарушения принципа эквивалентности Эйнштейна, возможной анизотропии пространства-времени. Поэтому тестирование основных принципов современных теорий гравитации становится сегодня актуальнейшей задачей, причем подтверждение или нарушение этих принципов одинаково важно для развития новых идей и теорий, призванных расширить границы нашего понимания устройства Вселенной.

Экспериментальная гравитация охватывает сегодня широкий круг исследований, основными из которых являются:

  • Детектирование гравитационных волн (проекты LIGO, VIRGO, GEO-600, TAMA-300, LISA).
  • Тестирование принципа эквивалентности Эйнштейна.
  • Поиски возможной анизотропии пространства-времени.
  • Проверки альтернативных теорий гравитации.

Все эти задачи решаются экспериментальными группами на разных установках. Но очень заманчиво иметь универсальный прибор – детектор – способный проводить все перечисленные исследования одновременно. Таким универсальным прибором является разрабатываемый по научно-техническому проекту «Дулкын» уникальный компактный лазерно-интерферометрический комплекс – детектор «Дулкын».

Многофункциональность детектора «Дулкын» является его отличительной чертой и позволяет осуществлять прецизионные фундаментальные исследования в разных областях гравитационной физики одновременно: исследование пространственных и временных вариаций гравитационного поля, детектирование гравитационных волн, тестирование основ Общей теории относительности и альтернативных теорий гравитации.

Основой детектора «Дулкын» является двухрезонаторная лазерная система (ДЛС), содержащая сигнальный и опорный резонаторы, в которых генерируются с помощью единой He-Ne активной среды оптические излучения со взаимно-ортогональными линейными поляризациями. Вспомогательной оптической системой является моноблочный ситалловый He-Ne/CH4 лазер – эталон частоты, который стабилизируется по нелинейному сверхузкому резонансу поглощения молекулы метана. Электронная система фазовой автоподстройки частоты осуществляет привязку частоты генерации опорного резонатора ДЛС к частоте генерации эталонного лазера.

В штатном рабочем состоянии детектора «Дулкын» сигнальный резонатор находится в режиме свободной генерации с частотой, зависящей от его оптической длины, а частота генерации опорного резонатора определяется электронным переходом в молекуле метана. Измеряемой величиной является разность частот (при работе детектора на разностной частоте) или разность фаз (при работе детектора в зоне захвата частот) сигнального и опорного резонаторов ДЛС.

Сигнальный резонатор можно рассматривать как некие макроскопические (протяженные) «часы», скорость хода которых зависит от оптической длины резонатора, а опорный резонатор – как микроскопические (точечные) квантовые «часы», скорость хода которых определяется электронным переходом в молекуле метана. Сравнение скоростей хода этих двух часов совершенно разной физической природы, которые по разному реагируют на гравитационные потенциалы, гравитационные волны и степень анизотропии пространства-времени, позволяет осуществлять прецизионные фундаментальные исследования в разных областях гравитационной физики одновременно.

В Казани исторически сложились уникальные возможности для проведения гравитационных экспериментов. С одной стороны, в Казани есть один из старейших и лучших университетов России, традиционно сильные научные школы которого подготовили кадры физиков, способных обеспечить научное сопровождение экспериментов любой сложности. Именно в Казанском университете работает единственная в стране кафедра теории относительности и гравитации.

Реализацией проекта создания универсального лазерно-интерферометрического детектора занимается Научный центр гравитационно-волновых исследований «Дулкын» (НЦ ГВИ «Дулкын») на правах института Академии наук РТ. НЦ ГВИ «Дулкын» осуществляет свою деятельность в тесном сотрудничестве с университетами и научно-техническими организациями РФ: КФУ (г. Казань), ОАО «НПО Государственный институт прикладной оптики» (г. Казань), ООО НТП «ФИТРАН» (г. Троицк, Московская область), КГТУ им. Туполева (г.Казань).

Основной экспериментальной базой проекта «Дулкын» является ОАО «НПО ГИПО». Наличие в ГИПО специализированных кабин с термо- и вибростабилизацией на глубине 12 м от поверхности земли и высокотехнологичного лазерно-интерферометрического оборудования позволяет проводить прецизионные экспериментальные исследования в области гравитационной физики.


Научно-технический проект «Дулкын» успешно прошел две первые стадии своего развития:

I стадия – разработка и создание пассивного варианта двухконтурного интерферометра (методика юстировки, сборка и настройка);

II стадия – создание активного варианта интерферометра - компактной двухрезонаторной лазерной системы;

И к настоящему времени подошел к III стадии, которая предполагает проведение (в три этапа) экспериментов по калибровке и достижению запланированной чувствительности детектора «Дулкын».

1 этап (условное название «лунный тест»). Создание детектора первого уровня («Дулкын-1») и проведение долговременного эксперимента (длительность 6 мес.) по его калибровке и достижению чувствительности 10-12-10-16. Основная задача 1-го этапа заключается в определении главных источников технического шума в диапазоне частот 10-5-10-1 Гц и выработки методов их эффективного подавления. Второй задачей является проверка принципа эквивалентности Эйнштейна (в части универсальности закона гравитационного «красного смещения»), а также подтверждения правильности подхода Ж. Можена и, соответственно, концепции построения ГВ-детектора «Дулкын».

2 этап. Создание по результатам 1-го этапа детектора второго уровня («Дулкын-2»), у которого подавлены технические флуктуации разностной частоты сигнального и опорного резонаторов ДЛС и главным источником шума остаются естественные флуктуации разностной частоты, вызванные спонтанным излучением атомов активной среды. Проведение долговременного эксперимента (длительность 12 мес.) по калибровке детектора и достижению чувствительности 10-15-10-18. Главными задачами 2 этапа являются эффективное подавление технических шумов детектора и возможность получения режима корреляции спонтанного излучения в сигнальном и опорном резонаторах ДЛС. Дополнительной задачей будет проверка принципа эквивалентности Эйнштейна на более глубоком уровне.

3 этап. Создание по результатам 2-го этапа детектора третьего уровня («Дулкын-3») с возможностью использования режима корреляции спонтанного излучения в модах сигнального и опорного резонаторов ДЛС. Проведение долговременного эксперимента (длительность 12 мес.) по его калибровке и достижению чувствительности 10-19-10-22. Подготовка к началу детектирования инфранизкочастотного гравитационного излучения от двойных релятивистских астрофизических объектов.

Лазерно-интерферометрический детектор «Дулкын-1» состоит из следующих основных систем и блоков:

  • двухрезонаторная лазерная система (ДЛС);
  • оптический блок эталонного He-Ne/CH4 лазера, стабилизированного по нелинейному сверхузкому резонансу поглощения молекулы метана;
  • блок электроники, содержащий системы автоподстройки частоты генерации эталонного He-Ne/CH4 лазера и частотно-фазовой автоподстройки частоты генерации опорного резонатора ДЛС к частоте He-Ne/CH4 лазера; систему пороговой подстройки частоты сигнального и опорного резонаторов ДЛС, блок управления фазовым модулятором для инжекции калибровочных сигналов в ДЛС, блок измерения фазы сигнала разностной частоты сигнального и опорного резонаторов ДЛС, блок сбора данных, блок обработки и выделения сигнала;
  • вакуумная система;
  • система обеспечения необходимого температурно-влажностного режима в экспериментальной кабине, расположенной на глубине 12 м от уровня земли;
  • система телеуправления и дистанционного (до 100 м) контроля за всеми измеряемыми параметрами детектора «Дулкын-1» без нарушения температурно-влажностного режима внутри экспериментальной кабины.



 

Все цели и задачи 1 этапа Ш стадии научно-технического проекта «Дулкын» были успешно выполнены.

  1. Создан детектор первого уровня «Дулкын-1». Доказана работоспособность детектора и всей вспомогательной аппаратуры в течение многих месяцев непрерывной эксплуатации в ходе проведения эксперимента «Лунный тест».
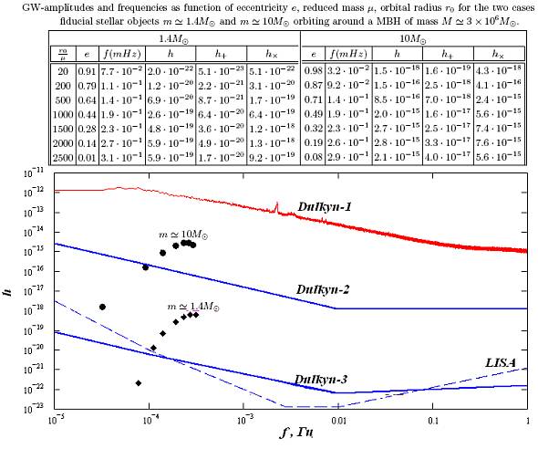
  2. Достигнутая чувствительность детектора «Дулкын-1», которая составляет 10-128x10-16 в диапазоне частот 10-5-1 Гц, соответствует значениям, предъявляемым к детектору первого уровня, и является на сегодняшний день (до запуска в 2020 году международного космического проекта LISA) единственной в мире для данного диапазона инфранизких частот.
  3. В результате проведения эксперимента «Лунный тест» был проверен принцип эквивалентности Эйнштейна (в части универсальности закона гравитационного «красного» смещения для часов разной физической природы) на уровне 0.9% , что почти вдвое улучшило прежнее мировое достижение (1.7% - США, 1983г.). Эксперимент подобного рода проводился в России (и бывшем СССР) впервые.
  4. Подтверждена правильность концепции построения ГВ-детектора «Дулкын», в основе расчета эластодинамического отклика которого лежит подход Ж. Можена, соответствующий значению феноменологического параметра x=1, в отличие от альтернативного подхода Дж. Вебера (x=0), поскольку экспериментальное значение, полученное при проверке принципа эквивалентности, составило x=1±0.009.

В результате выполнения 2 этапа будет создан детектор «Дулкын-2», на котором уже возможно будет обнаружить нарушение принципа эквивалентности Эйнштейна или доказать анизотропию пространства-времени. Эти открытия могут привести к революции в познании Вселенной и положить начало создания новой физики. Кроме того, на детекторе «Дулкын-2» можно зарегистрировать высокоамплитудные гравитационные волны от черных дыр в центре нашей галактики.


[1] S. Capozziello, M. De Laurentis, L. Forte, F. Garufi and L. Milano “Relativistic orbits and Gravitational Waves from gravitomagnetic corrections” // Mem. S.A.It., 2008, Vol. 75, p. 282.

В результате успешного выполнения 3 этапа будет создан детектор «Дулкын-3» с чувствительностью достаточной для регистрации гравитационного излучения от двойных релятивистских астрофизических объектов.

Одной из актуальнейших проблем является оценка ресурсов и прогнозирование состояния литосферы. Средства оценки и прогнозирования основаны на методах сейсморазведки, магниторазведки, гравиметрии и др.

В данном проекте на основе разрабатываемого детектора, теоретически исследованного в НЦ ГВИ «Дулкын», планируется проведение работ по созданию гравиметрических приборов нового поколения, аналогов которых не существует. Создаваемые приборы будут способны измерять не только вертикальные и горизонтальные градиенты потенциала гравитационного поля Земли, но также вторые и третьи производные и их временные вариации, а так же решать задачи, которые в настоящее время традиционными методами решать невозможно.

В прикладной геофизике наземные измерения градиентов силы тяжести (вторые производные гравитационного потенциала) можно использовать для изучения близкоповерхностных возмущающих масс, обнаружения пустот, определение плотности на вертикальных профилях. Знание третьих производных гравитационного потенциала позволяет определять изменение плотности пород, создающих исследуемые аномалии гравитационного потенциала. Кроме того, известны наблюдения, позволяющие утверждать, что вторые вертикальные производные гравитационного потенциала также чувствительны к надвигающимся землетрясениям. Нарастание амплитуды колебаний вертикального градиента силы тяжести могло бы служить критерием приближения землетрясения. Для уверенной регистрации этих колебаний необходимо иметь чувствительный прибор, который был бы способен в непрерывном режиме измерять вариации вторых производных. Подобные приборы дадут возможность учитывать связь землетрясений с вариациями гравитационного потенциала и их влияния на литосферу, обеспечат учет и оценку их последствий.

Создание и исследование новых комплексов обеспечит снижение затрат на разведку, освоение и эксплуатацию месторождений за счет более точных и оперативных измерений параметров литосферы, а также измерения её характеристик, недоступных для существующих гравиметров. Благодаря их высокой чувствительности, эти приборы окажутся способны к обнаружению до сих пор неизвестных физических явлений, и, более того, сделают возможным проведение изысканий из космоса. Это может быть использовано для создания наземно-космической системы предупреждения о землетрясениях. В прикладной геофизике использование измерений градиентов силы тяжести рассматривались академическими институтами еще в советские времена вскоре после трагической катастрофы в Армении в декабре 1988 года.

В ходе проекта планируется создание производства новых приборов – компактных прецизионных лазерно-интерферометрических детекторов для исследования пространственно-временных вариаций гравитационных полей. Прототипом новых приборов является детектор, защищенный патентом «Гравитационно-волновой детектор».

Проект будет реализован в три этапа.

На первом этапе (3 года) проекта будет создан лазерно-интерферометрический детектор с эффективным подавлением технических шумов и проведены исследования по получению режима корреляции спонтанного излучения в сигнальном и опорном резонаторах двухрезонаторной лазерной системы (ДЛС).

На втором этапе (3 года) предполагается создание лазерно-интерферометрического комплекса с использованием режима корреляции спонтанного излучения в модах сигнального и опорного резонаторов ДЛС. В ходе выполнения второго этапа будет достигнуто подавление естественных шумов в двухрезонаторной лазерной системе детектора, что позволит достигнуть рекордной чувствительности в области гравиметрических приборов. Дополнительной задачей будет проверка принципа эквивалентности Эйнштейна на более глубоком уровне и детектирование гравитационных волн.

На третьем этапе (5 лет) предполагается провести разработку гравиметрических приборов нового поколения, организовать их производство и сбыт.

Все ведущие страны мира занимаются гравитационными исследованиями, которые должны дать более глубокие знания о строении Вселенной. Наш подход к изучению гравитационных явлений оригинален и имеет ряд преимуществ перед зарубежными аналогами. Получение новых результатов в этой области существенно повысит престиж страны на международной арене. Эти новые фундаментальные знания приведут к созданию новых технологий, в частности приведут к обнаружению новых источников энергии, средств сверхдальней коммуникации, принципиально новых измерительных приборов для геологических исследований и астронавигации. Само по себе проведение этих работ повысит использовать полученные технологические навыки во многих отраслях промышленности что несомненно повысит технологический уровень страны.

 

E-mail: dulkyn@mail.ru
web-master: pl@au.ru
© 2000 DULKYN
^^^